|
× [PR]上記の広告は3ヶ月以上新規記事投稿のないブログに表示されています。新しい記事を書く事で広告が消えます。 |
|
前記事の続きです。
読んでいない場合は、そちらから先にどうぞ。
ということで、ここからが本題です。
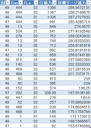
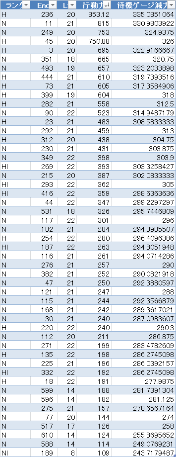
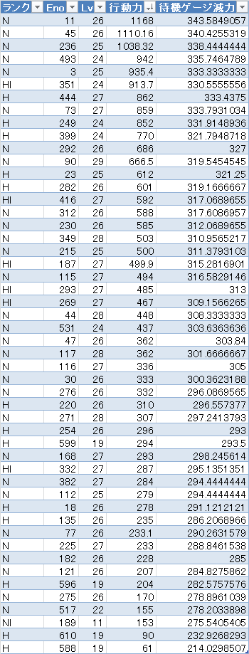
前回、「待機ゲージ減力」が算出できるようになりました。 やっと「待機ゲージ減力が、行動力とどのように関係しているか」の調査に入ることができます。 まず、手っ取り早く行動力特化キャラの一人、ユウ(11)さんの49回までの待機ゲージ減力を②の方法で計算し、行動力と比較させてみます。 この時同PTに所属する、サヤカ(292)さんとエルミレッタ(182)さんも、同時に表に載せておきました。 こちらは、それぞれ中速帯と鈍速帯に属するので、比較用で取ったつもりのデータです。 サヤカさんは楽士系なんで、①の方法で計ることができる(=比較的正確)だったのもあります。 表 図(上:行動力と待機ゲージ減力の比較 中:回毎の待機ゲージ減力推移 下:回毎の行動力推移) こうやってみると、ユウさんの待機ゲージ減力は基本的に高止まりしているのがよくわかります。 行動力の伸びはほとんど一定なのですが、待機ゲージ減力に関しては非常に緩やかです。 そして、異常な伸びを見せている13,19,30,39回に関しては、それぞれロッカータ・パンダ・クラゲ・神々のイベント回です。 この回に関しては、残る二人も非常に大きな伸びを見せています。 そして、サヤカさんとエルミレッタさん。 こちらを見ると、待機ゲージ減力に行動力以外の要素が影響しているのが、よくわかりますね。 特にエルミレッタさんは、行動力自体は200以上伸びている47回よりも、1,2回の方が待機ゲージ減力は高いぐらいです。 では、何の要素が影響しているのか? サヤカさんの待機ゲージ減力に着眼すると、前後回で大きく待機ゲージ減力が変わっているのは14,20,32回。 うち、14と32回はMAP移動があった回で、20回も次回はMAP移動をしています。 イベント回も、無論MAP移動のある回といえるので、MAPがなんかしら関係している、と当たりを付けました。 つまり、 ■待機ゲージ減力はMAPによって左右される と、推論を立ちます。 また、グラフの傾向から、 ■待機ゲージ減力を縦軸、行動力を横軸においたグラフは上に凸になる これも予想ができますね。 先に、グラフの傾向の方を確認しましょう。 「MAPの差」に加え、「同じ回に」「まとまったレベル差の相手」に当たる、イベント回を調べるのが妥当でしょうか。 下が30回(クラゲイベント)時に取った、50人分のデータの図と表になります。 表 図(上:全ランク 下:H,Nl分だけの図) 安定した曲線を描いています。待機ゲージ減力と行動力は相関性がありますね。 ちなみにランクの表記ですが、Hl=Hell,N=Nightmare,H=Hard,Nl=Normalです。 こうやってみると、相手のレベルなどはあまり関係して居ないように見えます。 では、MAPの違いが加わるとどうなるでしょう。 こちらもイベント回、39回の神々イベントです。 表 図(上:39回のみ 下:30回と比較) ‥‥こうやって並べてみますと、この二つのMAPでの違いはあまりなさそうですね。 と言うよりも、先ほどのサヤカさんとエルミレッタさんの数値から分かる通り、イベント回全てがこの双曲線的な形を取るということだと思います。 さて、通常MAPではどうなるでしょうか。 今度はロンデイン渓谷MAPの図と表です。 表 図(上:ロンデイン渓谷のみ 下:イベント回と比較) 見た目全然違う形になりました。 大分イベント回時に比べ、ロンデイン渓谷では上がりが緩いですね。 数値が全く変わっていることから、やはりMAPで差があるのではないでしょうか。 と、なるのですが、しかしその違いがMAPLvなのか、フィールドLvなのか、或いは違うところか生まれているかはよくわかりません。 ただ、手元にあるものだと、一つ興味深いものがあります。 リリア(228)さんが23回と26回で、同じMAP・同じレベル・同じ装備で戦闘しているのですが、その際に待機ゲージ減力が223.5から216に変わっているのです。 この結果では①の方法で計算できることも考えると、誤差にしては些か大きく見えます。 そして、この二つの結果内の違いは、戦闘回数や当たった相手の種類やレベルと、フィールドLvぐらい。 なので、今回の図では種類やレベルで変動している雰囲気はないことから、フィールドLvが影響しているのではないか、と思われるのですが。 PR |
|
|
